Abfallsteckbrief "0602 Abfälle aus der Herstellung, Zubereitung, Vertrieb und Anwendung (HZVA) von Basen"
| 060201* | Calciumhydroxid |
| 060203* | Ammoniumhydroxid |
| 060204* | Natrium- und Kaliumhydroxid |
| 060205* | andere Basen |
| (* gefährliche Abfälle) | |
Erläuterung
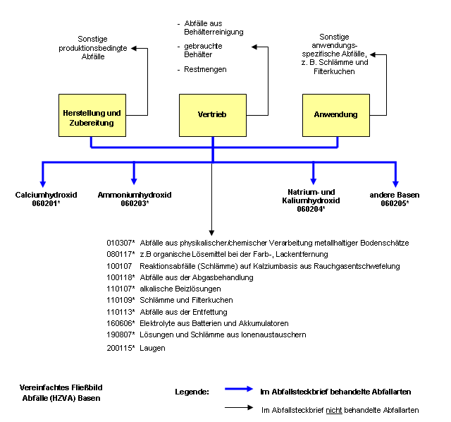
Eine branchenorientierte Zuordnung liegt beim Unterkapitel 0602 nicht vor. Aufgrund der weit gefächerten Aufkommensbereiche ist die Beschreibung stoffspezifisch gegliedert. Für laugenhaltige Abfälle - z. B. 100118* Abfälle aus der Abgasbehandlung, 110107* alkalische Beizlösungen - wird auf die Abfallsteckbriefe der entsprechenden Abfallgruppen hingewiesen. Die branchenspezifische Zuordnung ist vorzuziehen.
Getrennt gesammelte Laugen 200115* aus Siedlungsabfällen (meistens Kleinmengen) weisen grundsätzlich die im Abfallsteckbrief beschriebene Schadstoffcharakteristik auf.
Getrennt gesammelte Laugen 200115* aus Siedlungsabfällen (meistens Kleinmengen) weisen grundsätzlich die im Abfallsteckbrief beschriebene Schadstoffcharakteristik auf.
Zuordnung nach AVV
| Kapitel 06 | Abfälle aus anorganisch-chemischen Prozessen |
| Gruppe 0602 | Abfälle aus HZVA von Basen |
Schematische Darstellung des Entstehungsprozesses

Stoffspezifische Darstellung von Abfällen aus Herstellung, Zubereitung, Vertrieb und Anwendung von Basen (Quelle: ABAG-itm, 2009)
Quellenverzeichnis(Quellen, wenn nicht anders angegeben, in der aktuellen Fassung)

