Abfallsteckbrief "1601 Altfahrzeuge verschiedener Verkehrsträger"
| 160103 | Altreifen |
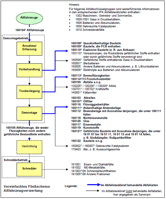
| 160104* | Altfahrzeuge |
| 160106 | Altfahrzeuge, die weder Flüssigkeiten noch andere gefährliche Bestandteile enthalten |
| 160107* | Ölfilter |
| 160108* | quecksilberhaltige Bauteile |
| 160109* | Bauteile, die PCB enthalten |
| 160110* | explosive Bauteile (z. B. aus Airbags) |
| 160111* | asbesthaltige Bremsbeläge |
| 160112 | Bremsbeläge mit Ausnahme derjenigen, die unter 16 01 11 fallen |
| 160113* | Bremsflüssigkeiten |
| 160114* | Frostschutzmittel, die gefährliche Stoffe enthalten |
| 160115 | Frostschutzmittel mit Ausnahme derjenigen, die unter 16 01 14 fallen |
| 160116 | Flüssiggasbehälter |
| 160117 | Eisenmetalle |
| 160118 | Nichteisenmetalle |
| 160119 | Kunststoffe |
| 160120 | Glas |
| 160121* | gefährliche Bauteile mit Ausnahme derjenigen, die unter 16 01 07 bis 16 01 11, 16 01 13 und 16 01 14 fallen |
| 160122 | Bauteile a.n.g. |
| (* gefährliche Abfälle) | |
Erläuterung
Die Ausführungen beschränken sich auf Abfälle der Gruppe 16 01, die bei der Rücknahme, Vorbehandlung/Schadstoffentfrachtung, Trockenlegung und Demontage von Altfahrzeugen anfallen können, z. B. Personen- und Lastkraftwagen, Busse, Mofas, Motorräder. Abfälle dieser Art entstehen auch bei der Wartung und Reparatur. Nicht enthalten sind Abfälle aus der weitergehenden Behandlung von Altfahrzeugen, z. B. Schredder, sowie Abfälle aus der Wartung, Reparatur und Verwertung sonstiger Fahrzeuge, z. B. schienengebundene Fahrzeuge.
Für Fahrzeuge der Klassen M1 (PKW mit höchstens acht Sitzplätzen außer dem Fahrersitz), N1 (Fahrzeuge zur Güterbeförderung mit einer zulässigen Gesamtmasse bis zu 3,5 Tonnen) sowie dreirädrige KFZ gelten zusätzlich die besonderen Anforderungen der Altfahrzeugverordnung (AltfahrzeugV). Deshalb sind sie einem zertifizierten und gelisteten Demontagebetrieb zu überlassen, der darüber einen Verwertungsnachweis ausstellt.
Für Fahrzeuge der Klassen M1 (PKW mit höchstens acht Sitzplätzen außer dem Fahrersitz), N1 (Fahrzeuge zur Güterbeförderung mit einer zulässigen Gesamtmasse bis zu 3,5 Tonnen) sowie dreirädrige KFZ gelten zusätzlich die besonderen Anforderungen der Altfahrzeugverordnung (AltfahrzeugV). Deshalb sind sie einem zertifizierten und gelisteten Demontagebetrieb zu überlassen, der darüber einen Verwertungsnachweis ausstellt.
Zuordnung nach AVV
| Kapitel 16 | Abfälle, die nicht anderswo im Verzeichnis aufgeführt sind |
| Gruppe 1601 | Altfahrzeuge verschiedener Verkehrsträger (einschließlich mobiler Maschinen) und Abfälle aus der Demontage von Altfahrzeugen sowie der Fahrzeugwartung (außer 13, 14, 16 06 und 16 08) |
Schematische Darstellung des Entstehungsprozesses

Entstehung von Abfällen aus der Altfahrzeugverwertung (Quelle: ABAG-itm)
Quellenverzeichnis(Quellen, wenn nicht anders angegeben, in der aktuellen Fassung)

